Latex Equation Editor
Latex Equation Editor
Descargar en App Store

Esta página no es una página oficial de la aplicación ni de su desarrollador, sino una publicación editorial independiente creada con fines informativos y de comentario. Salvo que se indique expresamente lo contrario, ni la aplicación ni su desarrollador están afiliados, respaldados, patrocinados, autorizados ni conectados oficialmente con MWM, Apple, Google Play, el editor de la aplicación ni su desarrollador, y nada en esta página implica que la aplicación haya sido desarrollada utilizando los servicios de MWM. Todas las marcas comerciales, logotipos, capturas de pantalla y demás contenidos son propiedad de sus respectivos propietarios.

Logo de Latex Equation Editor
Descargar en App Store

Latex Equation Editor

Genera fórmulas LaTeX de alta resolución sobre la marcha. Exporta imágenes perfectas para tus presentaciones, artículos de investigación y notas con una biblioteca de ecuaciones integrada.

Cifras Clave

Descargas

2K+

Valoración

3.2/5

Total valoraciones

0

Editor

Heng Jia Liang

Categoría

Utilities

Idiomas

1

Última versión

1.1

Tamaño

8.4 MB

Fecha de lanzamiento

13 mar 2022
Funciones

Matemáticas Listas para Publicar, Simplificadas

La utilidad esencial para estudiantes e investigadores de STEM para crear, guardar y exportar ecuaciones LaTeX perfectas directamente desde tu dispositivo iOS.

Exportaciones de Alta Resolución para Presentaciones

Genera imágenes nítidas y profesionales que lucen perfectas en Keynote, PowerPoint y pósteres científicos sin necesidad de un entorno de escritorio.

Biblioteca de Ecuaciones Instantánea

Almacena y organiza tus fórmulas y fragmentos más complejos localmente para evitar escribir repetitivamente y optimizar tu flujo de trabajo de investigación.

Las siguientes capturas de pantalla y la descripción provienen directamente del listado oficial de la tienda de la aplicación y son propiedad del desarrollador.

App Store

Capturas

Latex Equation Editor - Interfaz móvil de la aplicación Editor de Ecuaciones LaTeX renderizando una fórmula cuadrática con un teclado de símbolos matemáticos debajo

Interfaz móvil de la aplicación Editor de Ecuaciones LaTeX renderizando una fórmula cuadrática con un teclado de símbolos matemáticos debajo

Latex Equation Editor - Menú de configuración en la aplicación Editor de Ecuaciones LaTeX para personalizar el color de transparencia del fondo y el tamaño de fuente

Menú de configuración en la aplicación Editor de Ecuaciones LaTeX para personalizar el color de transparencia del fondo y el tamaño de fuente

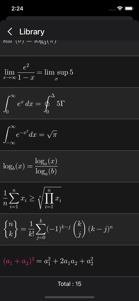
Latex Equation Editor - Biblioteca de ecuaciones matemáticas guardadas renderizadas en LaTeX

Biblioteca de ecuaciones matemáticas guardadas renderizadas en LaTeX

Latex Equation Editor - Interfaz de la aplicación Editor de Ecuaciones LaTeX mostrando una fórmula matemática renderizada y código LaTeX

Interfaz de la aplicación Editor de Ecuaciones LaTeX mostrando una fórmula matemática renderizada y código LaTeX

Latex Equation Editor - Interfaz de la aplicación móvil Editor de Ecuaciones LaTeX mostrando una fórmula matemática renderizada y una biblioteca de símbolos

Interfaz de la aplicación móvil Editor de Ecuaciones LaTeX mostrando una fórmula matemática renderizada y una biblioteca de símbolos

Latex Equation Editor - Interfaz de la aplicación Editor de Ecuaciones LaTeX mostrando una fórmula matemática renderizada y una biblioteca de símbolos matemáticos.

Interfaz de la aplicación Editor de Ecuaciones LaTeX mostrando una fórmula matemática renderizada y una biblioteca de símbolos matemáticos.

Latex Equation Editor - Interfaz de la aplicación Editor de Ecuaciones LaTeX mostrando una fórmula matemática renderizada y una biblioteca de letras griegas y símbolos

Interfaz de la aplicación Editor de Ecuaciones LaTeX mostrando una fórmula matemática renderizada y una biblioteca de letras griegas y símbolos

Latex Equation Editor - Interfaz de la aplicación móvil Editor de Ecuaciones LaTeX mostrando una fórmula matemática renderizada y una selección de atajos de símbolos LaTeX

Interfaz de la aplicación móvil Editor de Ecuaciones LaTeX mostrando una fórmula matemática renderizada y una selección de atajos de símbolos LaTeX

Latex Equation Editor - Interfaz del Editor de Ecuaciones LaTeX mostrando una fórmula y una cuadrícula de símbolos

Interfaz del Editor de Ecuaciones LaTeX mostrando una fórmula y una cuadrícula de símbolos

Latex Equation Editor - Interfaz de la aplicación móvil Editor de Ecuaciones LaTeX mostrando una fórmula matemática renderizada y el código LaTeX correspondiente

Interfaz de la aplicación móvil Editor de Ecuaciones LaTeX mostrando una fórmula matemática renderizada y el código LaTeX correspondiente

Descripción

Latex Equation Editor converts Latex equations to high resolution images to embed in documents and presentations. Features: • Load equation from library • Save equation to library • Save high resolution images to camera-roll The LaTeX is very flexible and powerful, these include: • Subscripts and superscripts • Brackets and Parentheses • Fractions and Binomials • Aligning Equations • Operators • Spacing in math mode • Integrals, sums and limits • Display style in math mode • List of Greek letters and math symbols • Mathematical fonts This is a tool for mathematics, scientific documents is the ability to render complex mathematical expressions. Thanks for your support and do visit nitrio.com for more apps for your iOS devices.

Download

Descargar en App Store

Esta página no es una página oficial de la aplicación ni de su desarrollador, sino una publicación editorial independiente creada con fines informativos y de comentario. Salvo que se indique expresamente lo contrario, ni la aplicación ni su desarrollador están afiliados, respaldados, patrocinados, autorizados ni conectados oficialmente con MWM, Apple, Google Play, el editor de la aplicación ni su desarrollador, y nada en esta página implica que la aplicación haya sido desarrollada utilizando los servicios de MWM. Todas las marcas comerciales, logotipos, capturas de pantalla y demás contenidos son propiedad de sus respectivos propietarios.