Frustum of a Cone PRO

Frustum of a Cone PRO

Herunterladen auf App Store
Logo von Frustum of a Cone PRO

Kegelstumpf PRO: Präzisionsgeometrie auf Knopfdruck

Der ultimative werbefreie Rechner für Studenten und Ingenieure. Beherrschen Sie komplexe Kegelstumpfformeln mit sofortigen Ergebnissen, Bruchunterstützung und detaillierten Schritt-für-Schritt-Lösungen.

Herunterladen auf App Store

Herausgeber

Glindemann, Sennoun, Langer GbR

Kategorie

Education

Downloads

500

Bewertung

1.0/5

Bewertungen gesamt

0

Sprachen

11

Präzision auf einen Blick

Entdecken Sie die Oberfläche, die von 500 Nutzern verwendet wird.

Mobile App-Oberfläche zur Berechnung von Kegelstumpfabmessungen mit numerischen Eingabefeldern und benutzerdefinierter Tastatur

Mobile App-Oberfläche zur Berechnung von Kegelstumpfabmessungen mit numerischen Eingabefeldern und benutzerdefinierter Tastatur

Geometrische Diagramme eines Kegelstumpfs mit mathematischen Bezeichnungen

Geometrische Diagramme eines Kegelstumpfs mit mathematischen Bezeichnungen

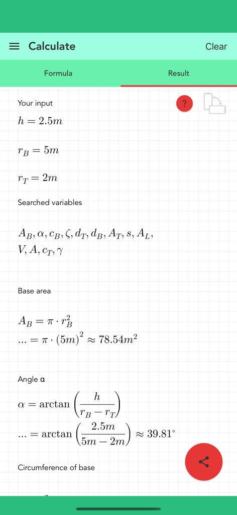
Schrittweise mathematische Berechnungsergebnisse für einen Kegelstumpf

Schrittweise mathematische Berechnungsergebnisse für einen Kegelstumpf

Detaillierte mathematische Formeln und Schritt-für-Schritt-Ergebnisse für einen Kegelstumpf

Detaillierte mathematische Formeln und Schritt-für-Schritt-Ergebnisse für einen Kegelstumpf

Schrittweise mathematische Formeln und Berechnungsergebnisse für einen Kegelstumpf

Schrittweise mathematische Formeln und Berechnungsergebnisse für einen Kegelstumpf

Seitenmenü-Navigation der Kegelstumpf PRO App mit verschiedenen mathematischen Berechnungsoptionen

Seitenmenü-Navigation der Kegelstumpf PRO App mit verschiedenen mathematischen Berechnungsoptionen

Präzisionsgeometrie mühelos gemacht

Die Tools, die diese App auszeichnen, gewählt von 500 Nutzern.

📝

Schritt-für-Schritt-Lösungen

Erhalten Sie nicht nur die Antwort – verstehen Sie den Prozess. Zeigen Sie vollständige Ableitungen und Formeln an, um Ihre Arbeit zu überprüfen oder die Mathematik zu meistern.

📏

Bruch- & Dezimalunterstützung

Zugeschnitten auf US-Gewerke. Geben Sie Messungen in Brüchen oder Dezimalstellen ein, um eine punktgenaue Genauigkeit für Bau und Fertigung zu gewährleisten.

🚀

Professioneller Workflow

Arbeiten Sie schneller und ohne Werbung. Verfolgen Sie Ihren Berechnungsverlauf, identifizieren Sie Fehler sofort und teilen Sie Ergebnisse mit Ihrem Team oder Ihren Klassenkameraden.

Über die App

Alles, was Sie über wissen müssen Frustum of a Cone PRO.

Beschreibung

The best app to calculate all quantities of a frustum of a cone. You must enter some quantities like the radius and a height. The algorithm searches the formulas of the missing quantities, shows them and calculates the results. The length of the decimal place can be changed. The algorithm shows when rounding or wrong values lead to an opposition. Decimals and fractions are supported. The solution is shown step by step. All calculations are stored in the history. The final solution can be shared. [ Contents ] - all important quantities for the frustum of a cone - formulas for all important quantities of a frustum of a cone - infographic to illustrate the topic - search bar to find the desired quantity - history function to save the input - detailed solution - positive numbers, decimals and fractions are supported - no ads! [ Usage ] - there are fields for entering values using a special keyboard - press the check mark button at the bottom right to start the calculation - if values are missing, all fields will be marked orange - if the values are wrong (e.g. negative lengths), the affected field will be highlighted red - if a value is no number, it is highlighted in red - the entries in the history can be deleted or sorted - if you select an entry in the history, it will be automatically loaded for the calculation - the whole history can be deleted by pressing a button - solutions can be shared [ Math conditions ] - each value must be greater than zero - angle α, γ must be less than 90° - angle ζ must be greater than 90° and less than 180°

Neueste Version

2.1.10

Größe

177.0 MB

Erstveröffentlichung

9. Sept. 2023

Meistern Sie Ihre Berechnungen mit professioneller Präzision

Schließen Sie sich den Studenten und Fachleuten an, die sich auf Kegelstumpf PRO für sofortige, schrittweise Lösungen und werbefreie Genauigkeit verlassen – vom Klassenzimmer bis zur Baustelle.

Herunterladen auf App Store

App information, icons, screenshots, and descriptions displayed on this page are sourced from the Apple App Store and are the property of their respective developers. Download estimates and rankings are based on MWM's proprietary models and may not reflect actual figures. This page is provided for informational and analytical purposes only.

Believe this page infringes your intellectual property? File a dispute