Math Solver Pro
Math Solver Pro
Herunterladen auf App Store

Diese Seite ist keine offizielle Seite der App oder ihres Entwicklers, sondern eine unabhängige redaktionelle Veröffentlichung, die zu Informations- und Kommentarzwecken erstellt wurde. Sofern nicht ausdrücklich anders angegeben, sind weder die App noch ihr Entwickler mit MWM, Apple, Google Play, dem App-Herausgeber oder dem Entwickler der App verbunden, von ihnen unterstützt, gesponsert, autorisiert oder anderweitig offiziell verbunden, und nichts auf dieser Seite impliziert, dass die App unter Verwendung der Dienste von MWM entwickelt wurde. Alle Marken, Logos, Screenshots und andere Inhalte bleiben Eigentum ihrer jeweiligen Inhaber.

Logo von Math Solver Pro
Herunterladen auf App Store

Math Solver Pro

Stärken Sie Ihre Studien und Ingenieurprojekte mit über 100 spezialisierten Rechnern für Matrizen, Vektoren und Geometrie, komplett mit klaren theoretischen Erklärungen für jede Aufgabe.

Kennzahlen

Downloads

1K+

Bewertung

1.0/5

Bewertungen gesamt

0

Herausgeber

ALG Software Lab SIA

Kategorie

Education

Sprachen

8

Neueste Version

2.1

Größe

11.5 MB

Erstveröffentlichung

28. Sept. 2023
Funktionen

Das ultimative Mathe-Toolkit für MINT-Erfolg

Optimieren Sie Ihre Lernsitzungen und professionellen Arbeitsabläufe mit über 100 spezialisierten Rechnern und detaillierten Schritt-für-Schritt-Anleitungen.

Schritt-für-Schritt-Methodik

Beherrschen Sie die Logik hinter jedem Ergebnis mit detaillierten, formelbasierten Aufschlüsselungen, die Ihnen genau zeigen, wie Sie das Problem lösen.

Umfassende MINT-Abdeckung

Greifen Sie auf eine riesige Bibliothek von Tools für Lineare Algebra, Vektorrechnung und 3D-Geometrie zu – alles in einer einzigen, leistungsstarken App.

Die folgenden Screenshots und die Beschreibung stammen direkt aus dem offiziellen Store-Eintrag der App und sind Eigentum des Entwicklers.

App Store

Screenshots

Math Solver Pro - Hauptmenü der Mathe-Löser Pro App mit Mathe-Kategorien wie Matrixoperationen, Vektorrechnung und Geometrie

Hauptmenü der Mathe-Löser Pro App mit Mathe-Kategorien wie Matrixoperationen, Vektorrechnung und Geometrie

Math Solver Pro - Mathe-Löser Pro App-Oberfläche, die die Liste der Themen für Vektorrechnung mit verschiedenen Vektoroperationen zeigt.

Mathe-Löser Pro App-Oberfläche, die die Liste der Themen für Vektorrechnung mit verschiedenen Vektoroperationen zeigt.

Math Solver Pro - Mathe-Löser Pro Mobile App-Oberfläche für Matrixmultiplikation mit 3x3 Eingabegittern und theoretischer Erklärung.

Mathe-Löser Pro Mobile App-Oberfläche für Matrixmultiplikation mit 3x3 Eingabegittern und theoretischer Erklärung.

Math Solver Pro - Schritt-für-Schritt-Matrixmultiplikationslösung, die auf der Mathe-Löser Pro Mobile App-Oberfläche angezeigt wird.

Schritt-für-Schritt-Matrixmultiplikationslösung, die auf der Mathe-Löser Pro Mobile App-Oberfläche angezeigt wird.

Math Solver Pro - Oberfläche der Mathe-Löser Pro App, die einen Rechner für Richtungsparallelitäten der Vektorrechnung mit einem 3D-Koordinatendiagramm und mathematischen Formeln zeigt.

Oberfläche der Mathe-Löser Pro App, die einen Rechner für Richtungsparallelitäten der Vektorrechnung mit einem 3D-Koordinatendiagramm und mathematischen Formeln zeigt.

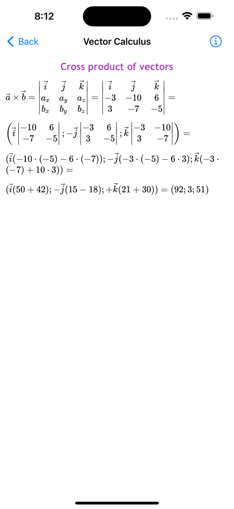
Math Solver Pro - Schritt-für-Schritt-Berechnung des Kreuzprodukts von Vektoren in der Mathe-Löser Pro App

Schritt-für-Schritt-Berechnung des Kreuzprodukts von Vektoren in der Mathe-Löser Pro App

Math Solver Pro - Mathe-Löser Pro Oberfläche zur Lösung linearer Gleichungen mit der invertierbaren Matrixmethode

Mathe-Löser Pro Oberfläche zur Lösung linearer Gleichungen mit der invertierbaren Matrixmethode

Math Solver Pro - Mathe-Löser Pro App-Oberfläche, die einen Rechner für das Volumen einer Pyramidenstumpfes mit Formel und Eingabefeldern zeigt

Mathe-Löser Pro App-Oberfläche, die einen Rechner für das Volumen einer Pyramidenstumpfes mit Formel und Eingabefeldern zeigt

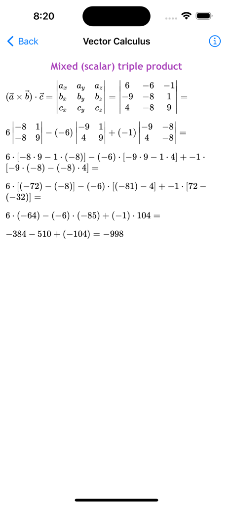
Math Solver Pro - Schritt-für-Schritt-Lösung für eine gemischte Skalarprodukt-Berechnung in der Mathe-Löser Pro App

Schritt-für-Schritt-Lösung für eine gemischte Skalarprodukt-Berechnung in der Mathe-Löser Pro App

Math Solver Pro - Mathe-Löser Pro App-Suchoberfläche mit Optionen für Geometrie- und Vektorrechner

Mathe-Löser Pro App-Suchoberfläche mit Optionen für Geometrie- und Vektorrechner

Beschreibung

Math Solver Pro is a comprehensive tool designed for students, engineers, and anyone who works with math in their studies or profession. The app includes 100+ calculators and guides covering a wide range of mathematical topics. Each calculator includes a brief theoretical explanation and performs step-by-step calculations using the correct formulas — making it ideal for learning, checking homework, or quick reference on the go. Covered Topics: • Matrix operations • Determinants • Vector calculus • 2D and 3D analytic (Cartesian) geometry • 2D and 3D elementary geometry • Systems of linear equations • Algebra • Quadratic equations and more Key Features: • Over 100 calculators across major math fields • Step-by-step solutions with detailed explanations • Quick theory references for each task • Random number generator for creating practice problems • Multilingual support: English, French, German, Italian, Portuguese, Russian, Spanish, Ukrainian Whether you're preparing for exams or solving real-world engineering tasks, Math Task Solver makes it fast and easy. The application performs the following operations: • Matrix addition • Matrix subtraction • Matrix multiplication • Matrix multiplication by scalar • Matrix transpose • Matrix square • Determinant: Sarrus method • Determinant: Laplace method • Invertible matrix • Vector Length • Vector coordinates by two points • Vectors addition • Vectors subtraction • Scalar and vector multiplication • Scalar product of vectors • Cross product of vectors • Mixed triple product • Angle between two vectors • Projection of a vector onto another vector • Direction cosines • Collinear vectors • Orthogonal vectors • Coplanar vectors • Area of triangle formed by vectors • Area of a parallelogram formed by vectors • Volume of pyramid formed by vectors • Volume of a parallelepiped formed by vecto • General equation of a straight line • Slope equation of a straight line • Line equation in segments • Polar parameters of the line • Relationship between line and point • Distance between two points • Dividing a segment in half • Dividing a segment in a given ratio • Triangle area • Condition under which three points lie on the same line • Condition of parallel lines • Two lines are perpendicular • Angle between two lines • Bunch of lines • Relationship between a line and a pair of points • Point to line distance • Equation of a plane • Condition for parallel planes • Condition for perpendicular planes • Angle between two planes • Segments on axes • Equation of a plane in segments • Relationship between a plane and a pair of points • Point to plane distance • Polar parameters of the plane • Normal Equation of a Plane • Reducing the plane equation to normal form • Equations of a line in space • Canonical equation of a straight line • Parametric equations of a straight line • Direction vectors • Angles between line and coordinate axes • Angle between two lines • Angle between line and plane • Condition of parallel line and plane • Condition of perpendicularity of a line and a plane • Triangle area • Median of triangle • Triangle height • Pythagorean theorem • Radius of a circle circumscribing a triangle • Radius of a circle inscribed in a triangle • Area of a parallelogram • Area of a rectangle • Square area • Trapezoid area • Rhombus area • Circle area • Sector area • Length of the arc of a circle • Parallelepiped volume • Cuboid volume • Cube volume • Pyramid surface area • Pyramid volume • Truncated pyramid volume • Cylinder lateral surface area • Cylinder total area • Cylinder volume • Cone lateral surface area • Cone total surface area • Cone volume • Sphere surface area • Sphere volume • Substitution method • Cramer's method • Invertible matrix method • Quadratic Equations • Biquadratic Equations • Arithmetic progression • Geometric progression • Greatest Common Divisor • Least Common Multiple The application is being actively developed and supplemented with new calculators. Keep for updates!

Download

Herunterladen auf App Store

Diese Seite ist keine offizielle Seite der App oder ihres Entwicklers, sondern eine unabhängige redaktionelle Veröffentlichung, die zu Informations- und Kommentarzwecken erstellt wurde. Sofern nicht ausdrücklich anders angegeben, sind weder die App noch ihr Entwickler mit MWM, Apple, Google Play, dem App-Herausgeber oder dem Entwickler der App verbunden, von ihnen unterstützt, gesponsert, autorisiert oder anderweitig offiziell verbunden, und nichts auf dieser Seite impliziert, dass die App unter Verwendung der Dienste von MWM entwickelt wurde. Alle Marken, Logos, Screenshots und andere Inhalte bleiben Eigentum ihrer jeweiligen Inhaber.