Logic-Gate-Design Pro
Logic-Gate-Design Pro
Download on App Store

This page is not an official page of the app or its developer, but an independent editorial publication created for informational and commentary purposes. Unless expressly stated otherwise, neither the app nor its developer is affiliated with, endorsed by, sponsored by, authorized by, or otherwise officially connected with MWM, Apple, Google Play, the app publisher, or the app's developer, and nothing on this page implies that the app was developed using MWM's services. Any trademarks, logos, screenshots, and other content remain the property of their respective owners.

Logo of Logic-Gate-Design Pro
Download on App Store

Logic-Gate-Design Pro

Design, simulate, and simplify complex circuit networks with ease. Generate truth tables, minimize Boolean expressions, and create professional diagrams—all in one powerful app for STEM students and pros.

Key Figures

Downloads

1K+

User Rating

1.0/5

Total Ratings

0

Publisher

Om Prakash Chapagain

Category

Education

Locales

1

Latest Version

5.0.0

Size

30.8 MB

First Released

Apr 12, 2022
Features

Master Digital Logic Design

A powerful, engineer-designed toolkit to draw, simulate, and simplify logic circuits, helping you ace your STEM coursework and lab reports.

Instant Boolean Simplification

Skip tedious manual K-maps. Generate minimized expressions and optimized gate counts instantly for maximum design efficiency.

Bi-Directional Engineering

Seamlessly convert Boolean expressions to logic circuits and vice versa. Perfect for reverse engineering complex diagrams or ladder logic.

The following screenshots and description are sourced directly from the app's official store listing and are the property of the app developer.

App Store

Screenshots

Logic-Gate-Design Pro - A complex digital logic gate circuit diagram being designed in the Logic Gate Design Pro mobile app interface

A complex digital logic gate circuit diagram being designed in the Logic Gate Design Pro mobile app interface

Logic-Gate-Design Pro - A truth table and simplified boolean expressions displayed within the Logic-Gate-Design Pro app interface.

A truth table and simplified boolean expressions displayed within the Logic-Gate-Design Pro app interface.

Logic-Gate-Design Pro - Boolean algebraic expression simplification and truth table generation in the Logic-Gate-Design Pro app

Boolean algebraic expression simplification and truth table generation in the Logic-Gate-Design Pro app

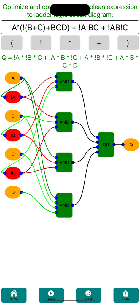
Logic-Gate-Design Pro - A logic gate circuit diagram generated from a complex Boolean expression showing inputs and connected AND and OR gates.

A logic gate circuit diagram generated from a complex Boolean expression showing inputs and connected AND and OR gates.

Logic-Gate-Design Pro - Logic gate design app showing boolean expression truth table and digital waveform diagram

Logic gate design app showing boolean expression truth table and digital waveform diagram

Logic-Gate-Design Pro - Truth table and waveform diagram showing product-of-sums expressions in a logic design app

Truth table and waveform diagram showing product-of-sums expressions in a logic design app

Logic-Gate-Design Pro - Gray code encoder wheel and 3 bit truth table visualization

Gray code encoder wheel and 3 bit truth table visualization

Logic-Gate-Design Pro - Sidebar menu for logic gate design and boolean algebra features

Sidebar menu for logic gate design and boolean algebra features

Description

The LogicGateDesign is a feature rich app designed by an engineer. This app allows the creative smart people like you to design, draw, analyse and simplify logic gate networks. You can draw logic gate networks and share it with others. You can generate truth table and find simplified/minimized boolean expression that represents the network. You can optimize and reverse engineer a boolean expression to draw a ladder logic diagram. It performs both forward engineering (boolean expression to logic circuit) and reverse engineering (logic circuit to boolean expression). There can be multiple groups of network and each group can have multiple outputs. Truth table is generated for all the outputs. You can simplify a boolean expression, and find the truth table and share it. Show truth table along with different types of boolean expression (simplified, Sum-of-products, Product-of-sums) The simplified expressions also gives you the number of gates required. You also get the alternate expressions for the same output with the gates required for that. You can generate a truth table, simplified boolean expression using input-output waveforms. You can generate a output waveforms, simplified boolean expression using truth table and input waveforms. You can generate a grey codes and grey code encoder wheel and share it. Do you have a truth table for your network and want to find the simplified/minimized boolean expression? This app has you covered. You can simulate your network by changing one input at a time or toggeling all inputs at once. This app generates beautiful diagrams (logic gate diagram or waveform diagram) that you can share with others or save it locally. It automatically saves your hard work locally on your device so you can come back and pick up from where you left off as your great effort will not be lost. There is also a page to help you study. This study tab teaches you some very important boolean algebra theorems. This is a perfect app for a creative smart individual like you. This is an app for all student groups. From high school to college to university students. Be creative. Enjoy the app!

Download

Download on App Store

This page is not an official page of the app or its developer, but an independent editorial publication created for informational and commentary purposes. Unless expressly stated otherwise, neither the app nor its developer is affiliated with, endorsed by, sponsored by, authorized by, or otherwise officially connected with MWM, Apple, Google Play, the app publisher, or the app's developer, and nothing on this page implies that the app was developed using MWM's services. Any trademarks, logos, screenshots, and other content remain the property of their respective owners.